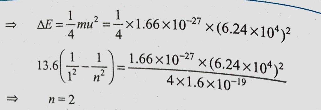
A hydrogen atom (mass = 1.66 * 10 ^27 kg, ionization potential = 13.6 eV), moving with a velocity 6.24 * 10^4 m/s makes a completely inelastic head- on collision with another stationary A hydrogen atom (mass = 1.66 * 10 ^27 kg ionization potential = 13.6 eV) moving with a velocity 6.24 * 10^4 m/s makes a completely inelastic head- on collision with another stationary October 16, 2020 Category: Uncategorised (JEE Advanced Physics by BM Sharma + GMP Solutions) , Facebook Messenger WhatsApp Share this:TwitterFacebook Related