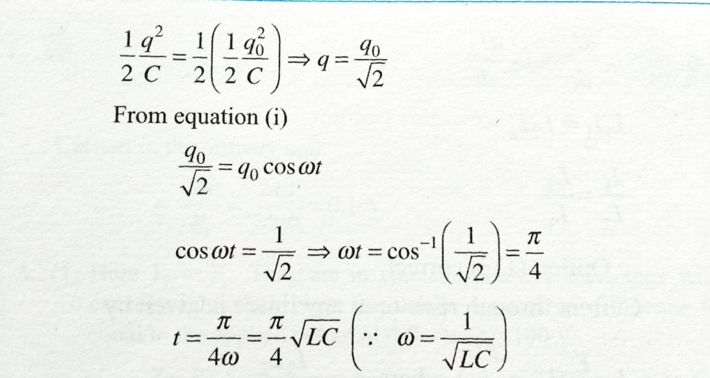
A fully charged capacitor C with initial charge q 0 is connected to a coil of self inductance L at t = 0. The time at which the energy is stored equally between the elrctric and the magnetic fields is A fully charged capacitor C with initial charge q 0 is connected to a coil of self inductance L at t = 0. The time at which the energy is stored equally between the elrctric and the magnetic fields is October 24, 2020 Category: Uncategorised (JEE Advanced Physics by BM Sharma + GMP Solutions) , Facebook Messenger WhatsApp Share this:TwitterFacebook Related