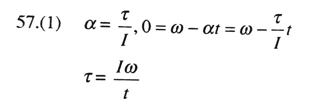
A flywheel of moment of inertia `I` is rotating with uniform angular speed `omega`. If a torque `tau` retards the wheel, then the time in which the wheel comes to rest is A flywheel of moment of inertia `I` is rotating with uniform angular speed `omega`. If a torque `tau` retards the wheel then the time in which the wheel comes to rest is December 6, 2020 Category: Uncategorised (JEE Advanced Physics by BM Sharma + GMP Solutions) , Facebook Messenger WhatsApp Share this:TwitterFacebook Related