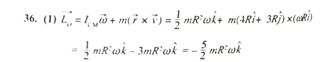
A Disc of mass m and radius R moves in the x-y plane as shown in figure. The angular momentum of the disc about the origin O at the instant shown is A Disc of mass m and radius R moves in the x-y plane as shown in figure. The angular momentum of the disc about the origin O at the instant shown is September 29, 2020 Category: Uncategorised (JEE Advanced Physics by BM Sharma + GMP Solutions) , Facebook Messenger WhatsApp Share this:TwitterFacebook Related