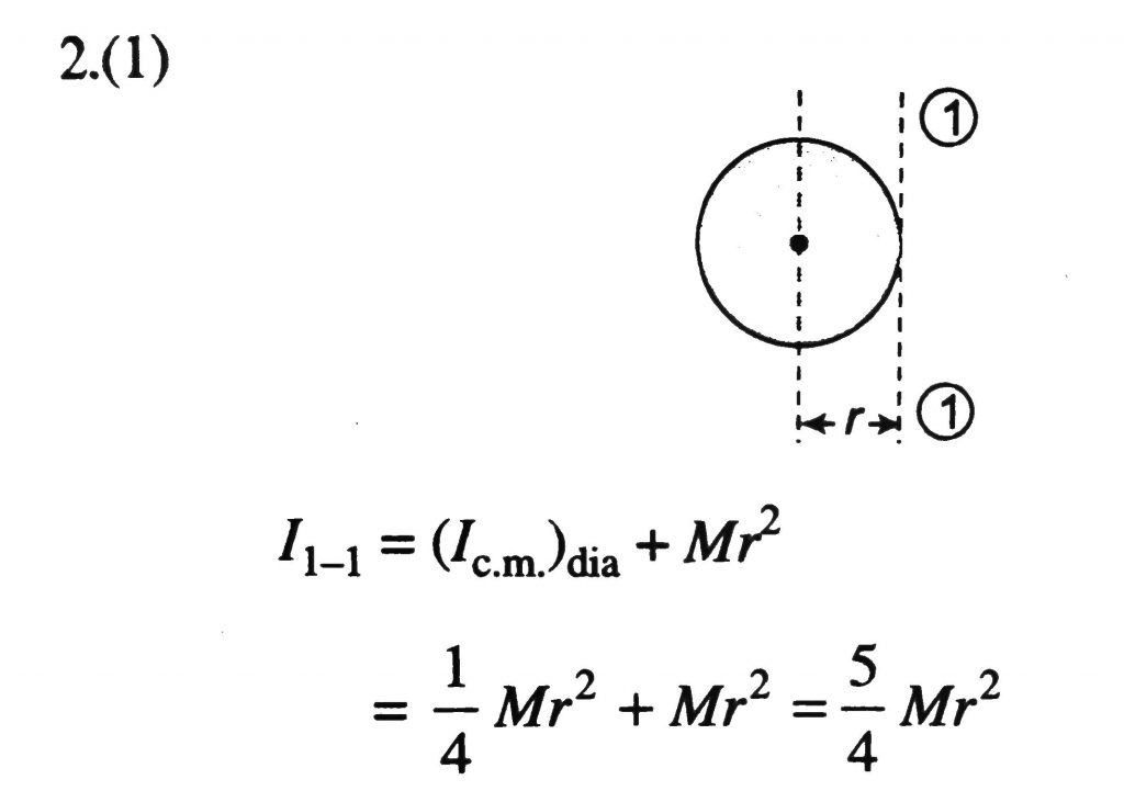
A disc is of mass M and radius r. The moment of inertia of this disc about an axis tangential to its edge and in plane of the disc is A disc is of mass M and radius r. The moment of inertia of this disc about an axis tangential to its edge and in plane of the disc is December 6, 2020 Category: Uncategorised (JEE Advanced Physics by BM Sharma + GMP Solutions) , Facebook Messenger WhatsApp Share this:TwitterFacebook Related