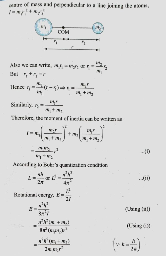
A diatomic molecule is made of two masses m1 and m2 which are separated by a distance r. If we calculate its rotational energy by applying Bohr’s rule of angular momentum quantization, its energy will be A diatomic molecule is made of two masses m1 and m2 which are separated by a distance r. If we calculate its rotational energy by applying Bohr's rule of angular momentum quantization its energy will be October 16, 2020 Category: Uncategorised (JEE Advanced Physics by BM Sharma + GMP Solutions) , Facebook Messenger WhatsApp Share this:TwitterFacebook Related