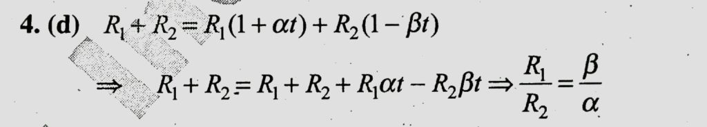
Two resistance R1 and R2 are made of different material. The temperature coefficient of the material of R1 is α and of the material of R2 is −β. Then resistance of the series combination of R1 and R2 will not change with temperature, if R1/ R2 will not change with temperature if R1 / R2 equals

