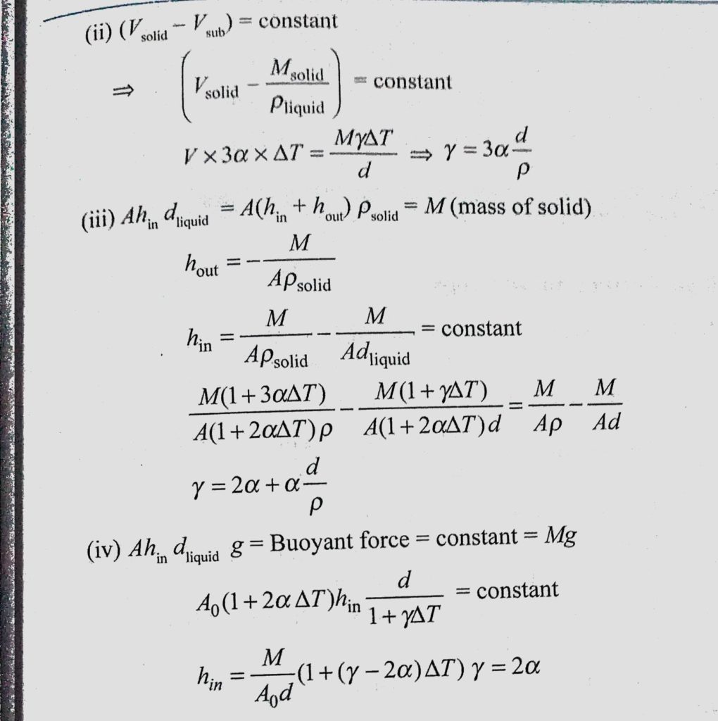
A cylindrical isotropic solid of coefficient of thermal expansion alpha and density rho (at STP) floats in a liquid of coefficient of volume expansion lemda and density d ( at STP) A cylindrical isotropic solid of coefficient of thermal expansion alpha and density rho (at STP) floats in a liquid of coefficient of volume expansion lemda and density d ( at STP) October 24, 2020 Category: Uncategorised (JEE Advanced Physics by BM Sharma + GMP Solutions) , Facebook Messenger WhatsApp Share this:TwitterFacebook Related