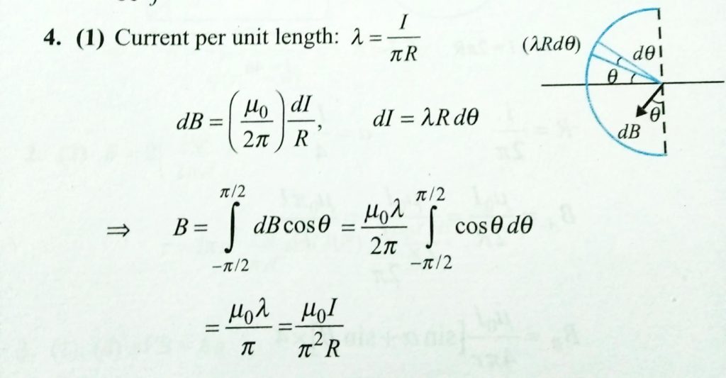
A cuurent I flows in an infinetly long wire with cross section in the form of a semicircular ring of radius R. THe magnitude of the manetic induction along its axis is A cuurent I flows in an infinetly long wire with cross section in the form of a semicircular ring of radius R. THe magnitude of the manetic induction along its axis is October 17, 2020 Category: Uncategorised (JEE Advanced Physics by BM Sharma + GMP Solutions) , Facebook Messenger WhatsApp Share this:TwitterFacebook Related