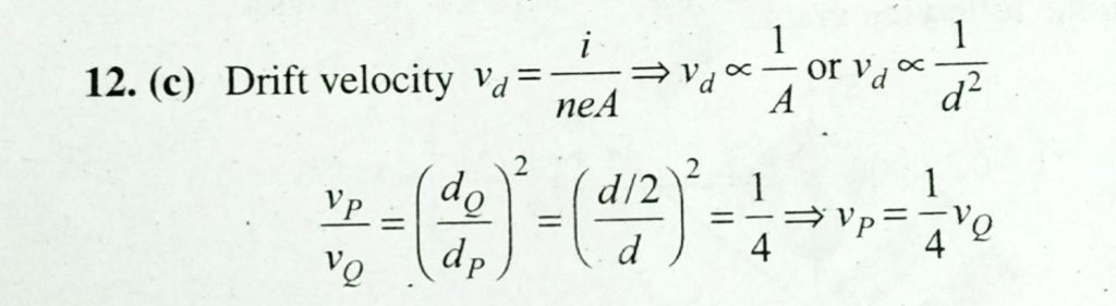
A current I is passing through a wire having two sections P and O of uniform diameters d and d/2 respectively. If the mean drift velocity of electrons in section P and Q is denoted by vP and vQ respectively, then A steady current flows in a metallic conductor of non- uniform cross - section. The quantity constant along the length of the conductor is /are September 19, 2020 Category: Uncategorised (JEE Advanced Physics by BM Sharma + GMP Solutions) , Facebook Messenger WhatsApp Share this:TwitterFacebook Related