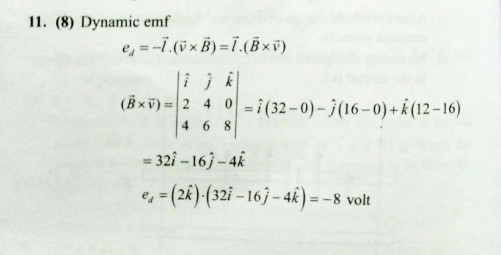
A copper wire of length 2 m placed perpendicular to the plane of magnetic field B = (2 i + 4 j ) T. If moves with velocity ( 4 i + 6 j + 8 k ) m/s. Calculate the magnitude of dynamic emf ( in volt ) across its ends. have diameters 0.2 m and 2 m. A time varying potential difference ( 4+ 2.5 t ) volt is applied to the larger loop. Calculate the current in the smaller loop. Two concentric coplanar circular loops made of wire with resistance per unit length 10^−4 Ω/m October 21, 2020 Category: Uncategorised (JEE Advanced Physics by BM Sharma + GMP Solutions) , Facebook Messenger WhatsApp Share this:TwitterFacebook Related