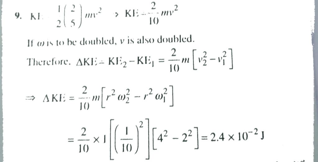
A copper ball of mass m = 1 kg with a radius of r = 10 cm rotates with angular velocity ω = 2 rad/s about an axis passing through its centre. The work should be performed to increase the angular velocity of rotation of the ball two fold A rigid body is made of three identical thin rods A uniform rod of mass m and length l which can rotate freely in vertical plane without friction is hinged at its lower end on a tablev . A sphere of mass m and radius R = l/3 is placed in contact with the vertical rod annd a horizontal force F is applied at the upper end of the rod. September 29, 2020 Category: Uncategorised (JEE Advanced Physics by BM Sharma + GMP Solutions) , Facebook Messenger WhatsApp Share this:TwitterFacebook Related