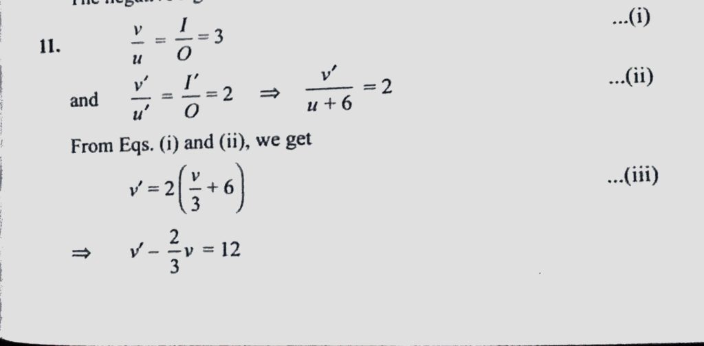
A concave mirror forms a real image three times larger than the object on a screen. The object and screen are moved until the image becomes twice the size of the object. If the shift of the object A concave mirror forms a real image three times larger than the object on a screen. The object and screen are moved until the image becomes twice the size of the object. If the shift of the object October 5, 2020 Category: Uncategorised (JEE Advanced Physics by BM Sharma + GMP Solutions) , Facebook Messenger WhatsApp Share this:TwitterFacebook Related