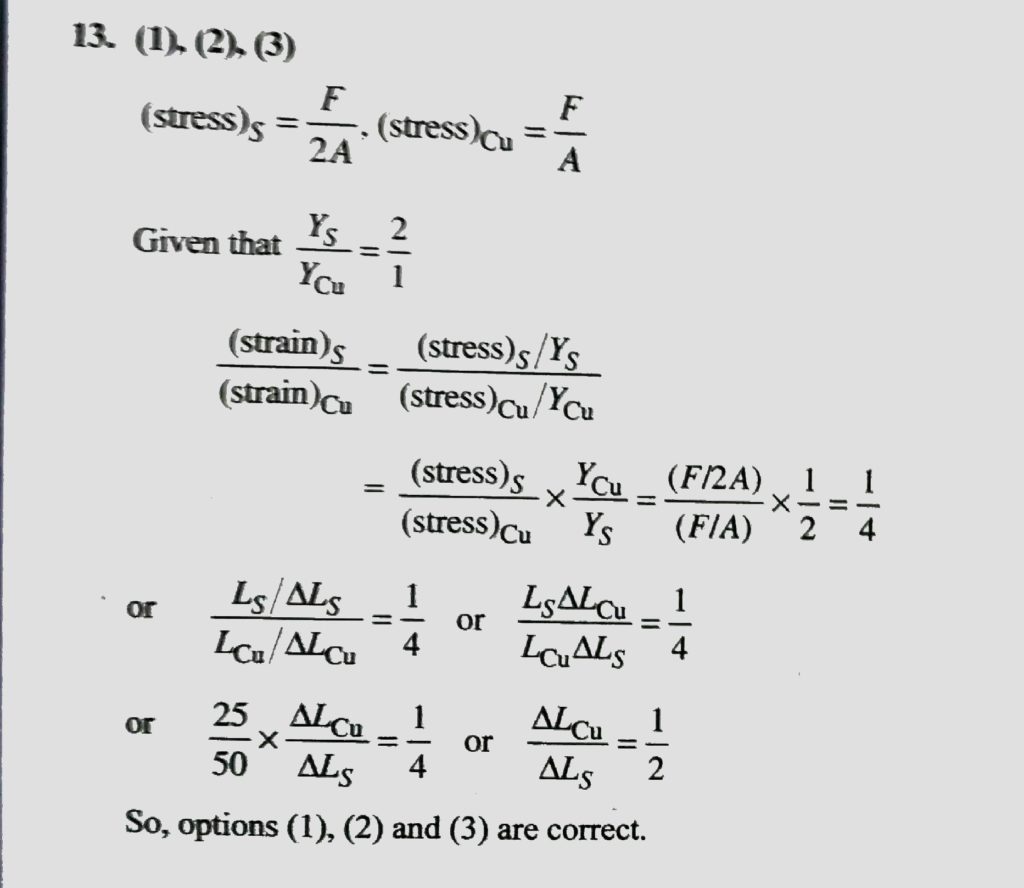
A composite rod consists of a steel rod of length 25 cm and area 2 A and a copper rod of length 50cm and area A. The composite rod is subjected to an axial load F. If the Young’s modulii of steel and copper are in the ration 2 : 1, then A body of mass M is attached to lower end of a metal wire mark out the correct statements. whose upper end is fixed. The elongation of wire is l. In this situation October 10, 2020 Category: Uncategorised (JEE Advanced Physics by BM Sharma + GMP Solutions) , Facebook Messenger WhatsApp Share this:TwitterFacebook Related