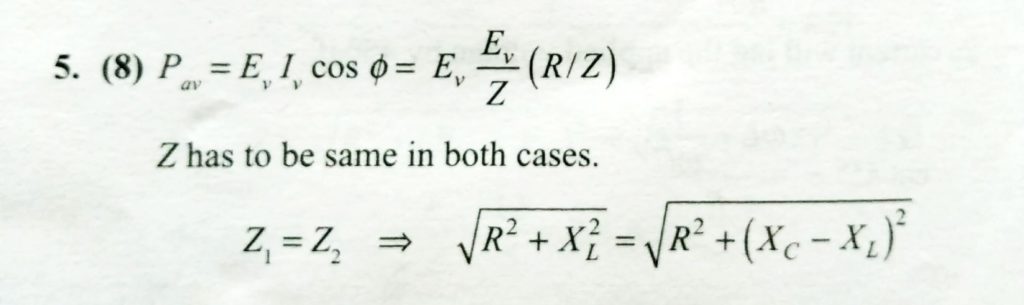
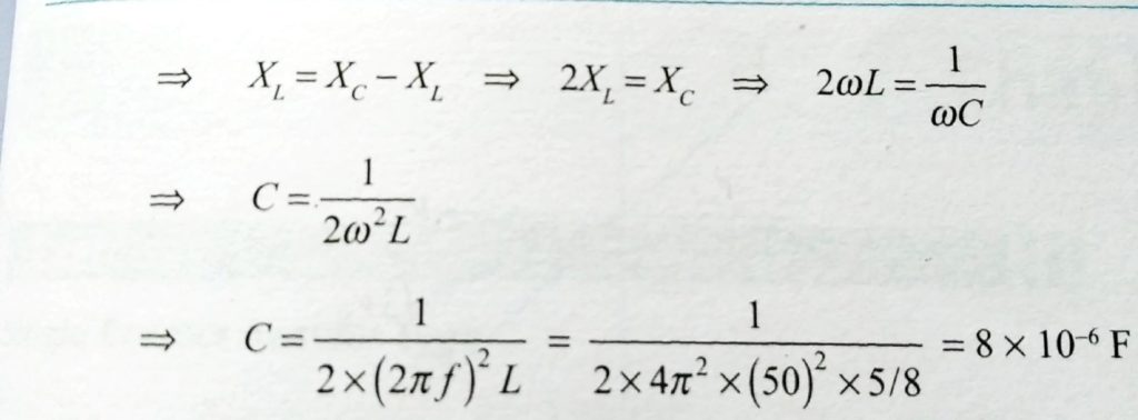
A coil of inductance L = 5/8 H of resistance R = 62.8 ohm is connected to the mains alternating voltage of frequency 50 Hz. what can be the capacitance of the capacitor ( in muF ) connected in series with the coil if the power dissipated has to remain unchanged ? take pie^2 = 10 .


