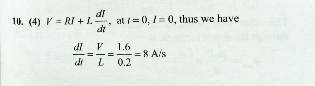
A coil of inductance 0.20 H is connected in series with a switch and a cell of emf 1.6 V. The total resistance of the circuit is 4 ohm. what is the initial rate of growth of the current when the switch is closed? so that the induced current in B should be 0.0060 A? The coefficient of mutual inductance of two circuits A and B is 3 mH and their respective resistanaces are 10 and 4Ω. How much current should change in 0.02 s in circuit A October 22, 2020 Category: Uncategorised (JEE Advanced Physics by BM Sharma + GMP Solutions) , Facebook Messenger WhatsApp Share this:TwitterFacebook Related