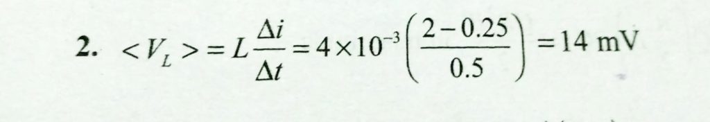
A coil has indutance of 4 mH. If the current through the coil changes from 0.25 amp to 2 amp during 0.5 s, find the average voltage dropped across the inductor. A coil has indutance of 4 mH. If the current through the coil changes from 0.25 amp to 2 amp during 0.5 s find the average voltage dropped across the inductor. October 21, 2020 Category: Uncategorised (JEE Advanced Physics by BM Sharma + GMP Solutions) , Facebook Messenger WhatsApp Share this:TwitterFacebook Related