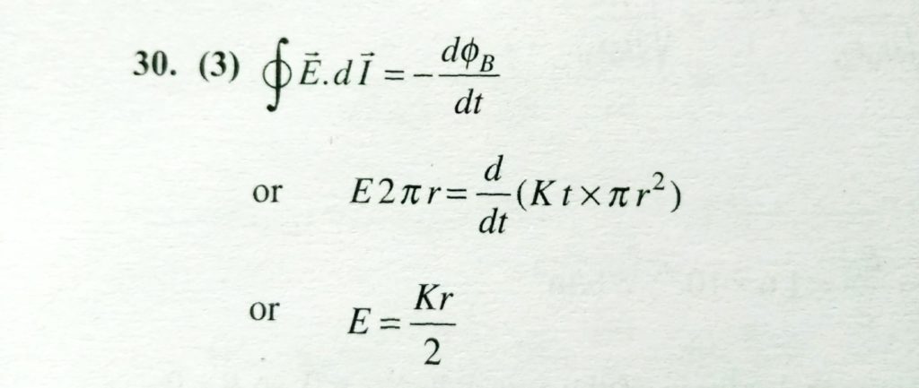
A circular ring of radius r is placed in a homogeneous magnetic field perendicular to the plane of the ring. The field B changes with time according to the equation B=kt where K is constant and r is the time. The electric field in the ring is: The wave of wavelength 5900 A emitted by any atom or molecule must have some finite total length which known as coherence length. For sodium light this length is 2.4 cm. The number of oscillation in this length will be October 29, 2020 Category: Uncategorised (JEE Advanced Physics by BM Sharma + GMP Solutions) , Facebook Messenger WhatsApp Share this:TwitterFacebook Related