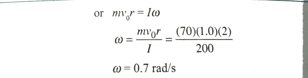
A circular platform is mounted on a vertical frictionless axle. Its radius r = 2 m and its moment of interia is I = 200 kg m^2. It is initially at rest. A 70 kg man stands on the edge at speed v0 = 10 m/s relative to the ground. The angular velocity of the platform is


