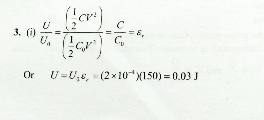
A charged capacitor has energy U0 = 2 x 10 ^-4 J and C0 = 4 x 10^-8 F, in the absence of a dielectric . when the potential difference is kept constant by keeping th ecapacitor connected to the supply , assuming Er = 150 , A charged capacitor has energy U0 = 2 x 10 ^-4 J and C0 = 4 x 10^-8 F assuming Er = 150 in the absence of a dielectric . when the potential difference is kept constant by keeping th ecapacitor connected to the supply November 7, 2020 Category: Uncategorised (JEE Advanced Physics by BM Sharma + GMP Solutions) , Facebook Messenger WhatsApp Share this:TwitterFacebook Related