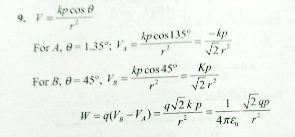
A charge +q is carried from point A(r,135∘) to point B(r,45∘) following a path, which is a quadrant of circle of radius r ( Fig. 3.97). If the dipole moment is P, find the work done by the external agent (assume short dipole). 135∘) to point B(r 45∘) following a path A charge +q is carried from point A(r find the work done by the external agent (assume short dipole). which is a quadrant of circle of radius r ( Fig. 3.97). If the dipole moment is P November 5, 2020 Category: Uncategorised (JEE Advanced Physics by BM Sharma + GMP Solutions) , Facebook Messenger WhatsApp Share this:TwitterFacebook Related