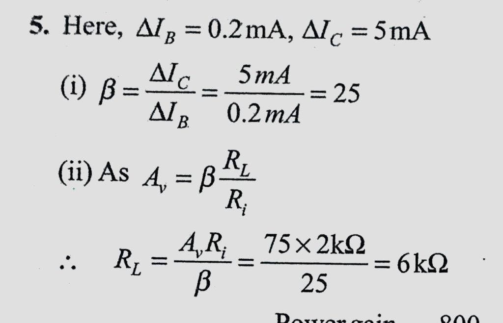
A change of 0.2 mA in the base current causes a change of 5 mA in the collector current for a common emitter amplifier. (1) Find the a.c. current gain of the transistor. (2) If the input resistance is 2 k ohm Assuming that the resistance of the meters are negligible what will be the readings of the ammeters A1 and A2 in the circuit shown in figure ? October 21, 2020 Category: Uncategorised (JEE Advanced Physics by BM Sharma + GMP Solutions) , Facebook Messenger WhatsApp Share this:TwitterFacebook Related