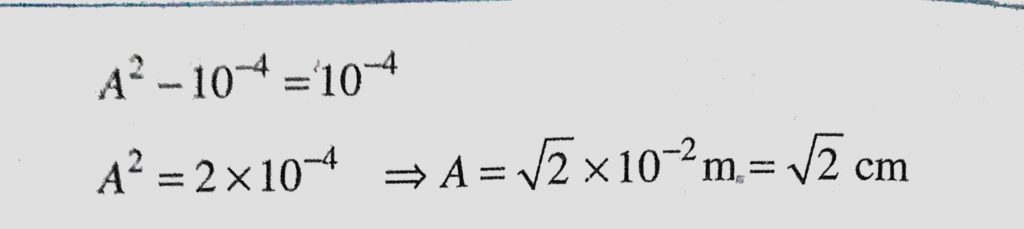
A certain simple harmonic vibrator of mass 0.1 kg has a total energy of 10 J. Its displacement from the mean position is 1 cm when it has equal kinetic and potential energies. The amplitude A certain simple harmonic vibrator of mass 0.1 kg has a total energy of 10 J. Its displacement from the mean position is 1 cm when it has equal kinetic and potential energies. The amplitude October 30, 2020 Category: Uncategorised (JEE Advanced Physics by BM Sharma + GMP Solutions) , Facebook Messenger WhatsApp Share this:TwitterFacebook Related