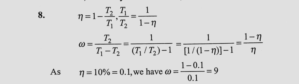
A Carnot heat engine has an efficiency of 10%. If the same engine is worked backward to obtain a refrigerator, then find its coefficient of performance. A Carnot heat engine has an efficiency of 10%. If the same engine is worked backward to obtain a refrigerator then find its coefficient of performance. October 28, 2020 Category: Uncategorised (JEE Advanced Physics by BM Sharma + GMP Solutions) , Facebook Messenger WhatsApp Share this:TwitterFacebook Related