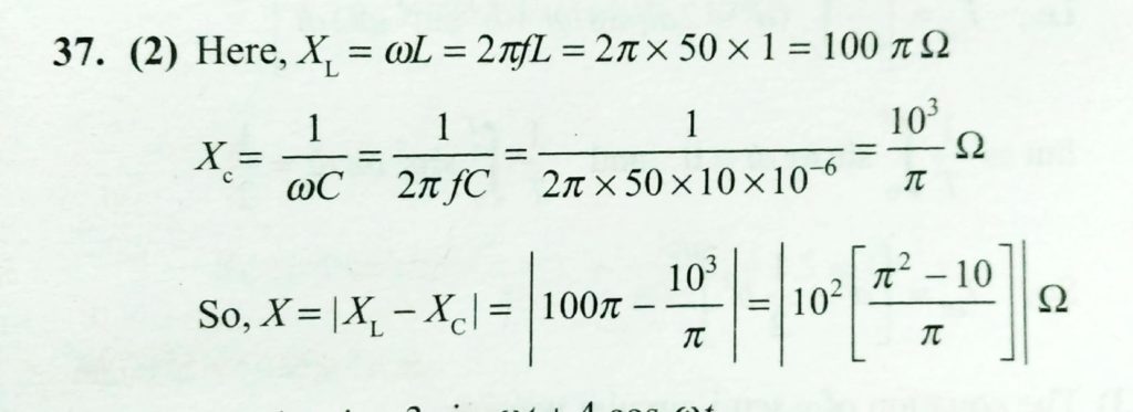
A capacitor of 10 muF and an inductor of 1 H are joined in series. An ac of 50 Hz is applied to this combination . what is the impedance of the combination ? A capacitor of 10 muF and an inductor of 1 H are joined in series. An ac of 50 Hz is applied to this combination . what is the impedance of the combination ? October 27, 2020 Category: Uncategorised (JEE Advanced Physics by BM Sharma + GMP Solutions) , Facebook Messenger WhatsApp Share this:TwitterFacebook Related