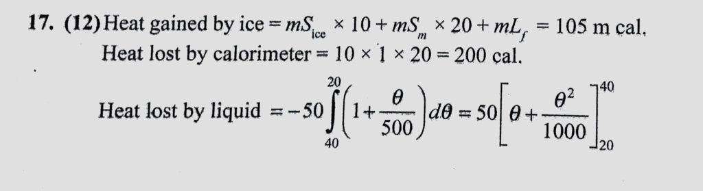
A calorimeter of water equivalent 10 g contains a liquid of mass 50 g at 40 C. When m gram of ice at -10 C is put into the calorimeter and the mixture is allowed to attain equilibrium, A calorimeter of water equivalent 10 g contains a liquid of mass 50 g at 40 C. When m gram of ice at -10 C is put into the calorimeter and the mixture is allowed to attain equilibrium October 24, 2020 Category: Uncategorised (JEE Advanced Physics by BM Sharma + GMP Solutions) , Facebook Messenger WhatsApp Share this:TwitterFacebook Related