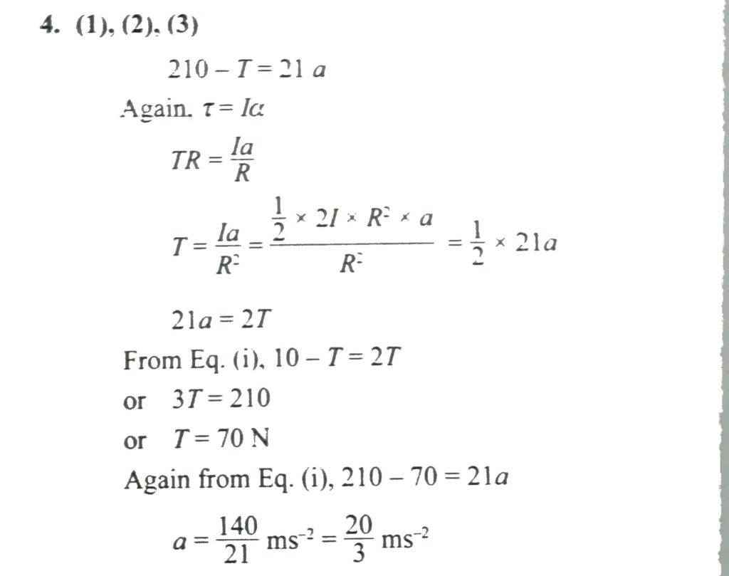
A bucket of water of mass 21 kg is suspended by a rope wrapped around a solid cylinder 0.2m in diameter. The mass of the solid cylinder is 21 kg. The bucket is released from rest. Which of the following statements are correct? A rigid body is in pure rotation that is undergoing fixed axis rotation. Then which of the following statements are true ? September 26, 2020 Category: Uncategorised (JEE Advanced Physics by BM Sharma + GMP Solutions) , Facebook Messenger WhatsApp Share this:TwitterFacebook Related