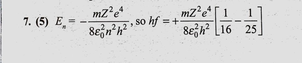
A Bohr hydrogen atom undergoes a transition n = 5 to n = 4 and emits a photon of frequency f. Frequency of circular motion of electron in n = 4 orbit is f4. The ratio ff4 is found A Bohr hydrogen atom undergoes a transition n = 5 to n = 4 and emits a photon of frequency f. Frequency of circular motion of electron in n = 4 orbit is f4. The ratio ff4 is found October 16, 2020 Category: Uncategorised (JEE Advanced Physics by BM Sharma + GMP Solutions) , Facebook Messenger WhatsApp Share this:TwitterFacebook Related