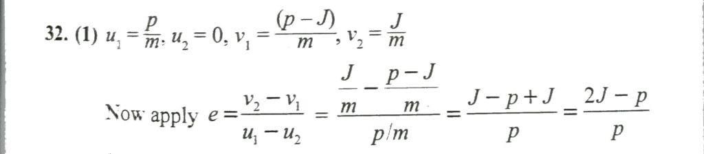
A body X with a momentum p collides with another identical stationary body Y one dimensionally. During the collision, Y gives an impulse J to body X. Then coefficient of restitution is A body X with a momentum p collides with another identical stationary body Y one dimensionally. During the collision Y gives an impulse J to body X. Then coefficient of restitution is September 24, 2020 Category: Uncategorised (JEE Advanced Physics by BM Sharma + GMP Solutions) , Facebook Messenger WhatsApp Share this:TwitterFacebook Related