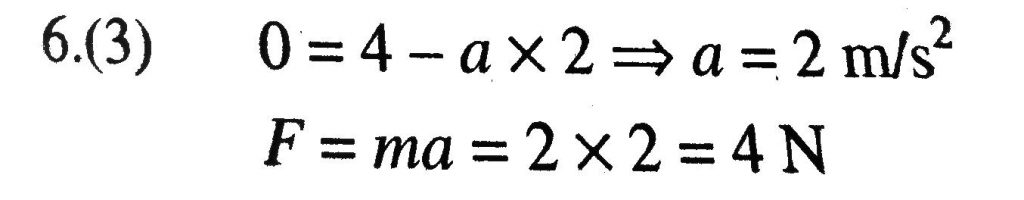
A body of mass 2kg moving on a horizontal surface with an initial velocity of 4m/s comes to rest in 2 seconds. If one wants to keep the body moving on the same surface with the velocity of 4 m/s , the force required is : A body of mass 2kg moving on a horizontal surface with an initial velocity of 4m/s comes to rest in 2 seconds. If one wants to keep the body moving on the same surface with the velocity of 4 m/s the force required is : December 6, 2020 Category: Uncategorised (JEE Advanced Physics by BM Sharma + GMP Solutions) , Facebook Messenger WhatsApp Share this:TwitterFacebook Related