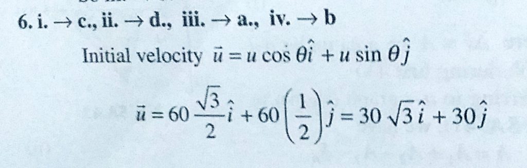
A body is projected with a velocity of 60 m/s at 30 to horizontal. A body is projected with a velocity of 60 m/s at 30 to horizontal. September 25, 2020 Category: Uncategorised (JEE Advanced Physics by BM Sharma + GMP Solutions) , Facebook Messenger WhatsApp Share this:TwitterFacebook Related