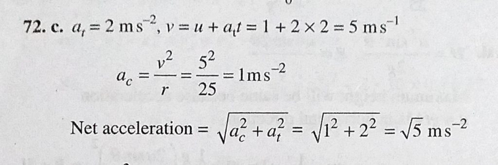
A body is moving in a circle with a speed of 1 m/s. This speed increases at a constant rate of 2 m/s every second. Assume that the radius of the circle described is 25 m. The total acceleration of the body A body is projected with velocity v1 from the point A as shown in Fig. 5.203. At the same time another body is projected vertically upwards from B with velocity v2. The point B lies vertically below the highest point September 24, 2020 Category: Uncategorised (JEE Advanced Physics by BM Sharma + GMP Solutions) , Facebook Messenger WhatsApp Share this:TwitterFacebook Related