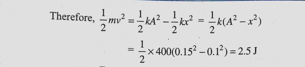
A block of mass 4 kg hangs from a spring of spring of spring constant k = 400 N/m. The block is pulled down through 15 cm below and released. What is its kinetic energy when the block A block of mass 4 kg hangs from a spring of spring of spring constant k = 400 N/m. The block is pulled down through 15 cm below and released. What is its kinetic energy when the block October 31, 2020 Category: Uncategorised (JEE Advanced Physics by BM Sharma + GMP Solutions) , Facebook Messenger WhatsApp Share this:TwitterFacebook Related