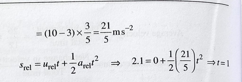
A block of mass 1 kg is kept on the tilted floor of a lift moving down with 3 m/s. If the block is released from rest as shown, what will be the time taken by block to reach the bottom? What is the normal A block of mass 1 kg is kept on the tilted floor of a lift moving down with 3 m/s. If the block is released from rest as shown what will be the time taken by block to reach the bottom? What is the normal September 28, 2020 Category: Uncategorised (JEE Advanced Physics by BM Sharma + GMP Solutions) , Facebook Messenger WhatsApp Share this:TwitterFacebook Related