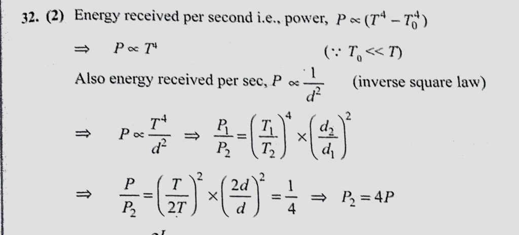
A black metal foil is warmed by radiation from a small sphere at temperature T and at a distance d. It is found that the power received by the foil is P. If both the temperature and the distance A black metal foil is warmed by radiation from a small sphere at temperature T and at a distance d. It is found that the power received by the foil is P. If both the temperature and the distance October 25, 2020 Category: Uncategorised (JEE Advanced Physics by BM Sharma + GMP Solutions) , Facebook Messenger WhatsApp Share this:TwitterFacebook Related