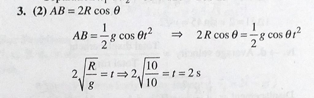
A bead is free to slide down on a smooth wire rightly stretched between points A and B on a vertical circle of radius 10 m. Find the time taken by the bead to reach point B, if the bead slides from rest A bead is free to slide down on a smooth wire rightly stretched between points A and B on a vertical circle of radius 10 m. Find the time taken by the bead to reach point B if the bead slides from rest September 24, 2020 Category: Uncategorised (JEE Advanced Physics by BM Sharma + GMP Solutions) , Facebook Messenger WhatsApp Share this:TwitterFacebook Related