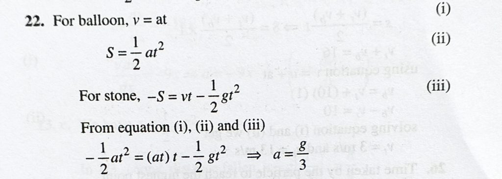
A balloon starts rising from ground from rest at some constant acceleration. After some time, a stone is dropped form it. If the stone reaches the ground in the same time in which balloon reached the A balloon starts rising from ground from rest at some constant acceleration. After some time a stone is dropped form it. If the stone reaches the ground in the same time in which balloon reached the September 18, 2020 Category: Uncategorised (JEE Advanced Physics by BM Sharma + GMP Solutions) , Facebook Messenger WhatsApp Share this:TwitterFacebook Related