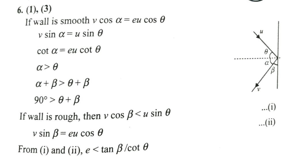
A ball strikes a wall with a velocity u at angle theat with the normal to the wall surface and rebounds from it an angle bita with the surface. Then A ball strikes a wall with a velocity u at angle theat with the normal to the wall surface and rebounds from it an angle bita with the surface. Then September 24, 2020 Category: Uncategorised (JEE Advanced Physics by BM Sharma + GMP Solutions) , Facebook Messenger WhatsApp Share this:TwitterFacebook Related