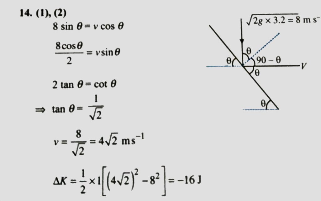
A ball of mass 1 kg is dropped from a height of 3.2 m on smooth inclined plane. The coefficient of restitution for the collision is e = 1/2. The ball’s velocity become horizontal after the collision. A ball of mass 1 kg is dropped from a height of 3.2 m on smooth inclined plane. The coefficient of restitution for the collision is e = 1/2. The ball's velocity become horizontal after the collision. September 24, 2020 Category: Uncategorised (JEE Advanced Physics by BM Sharma + GMP Solutions) , Facebook Messenger WhatsApp Share this:TwitterFacebook Related