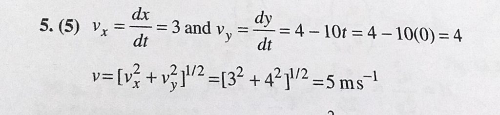
A ball is projected from the origin. The x and y coordinates of its displacement are given by x = 3t and y = 4t – 5t^2. Find the velocity of projection A ball is projected from the origin. The x and y coordinates of its displacement are given by x = 3t and y = 4t - 5t^2. Find the velocity of projection September 25, 2020 Category: Uncategorised (JEE Advanced Physics by BM Sharma + GMP Solutions) , Facebook Messenger WhatsApp Share this:TwitterFacebook Related