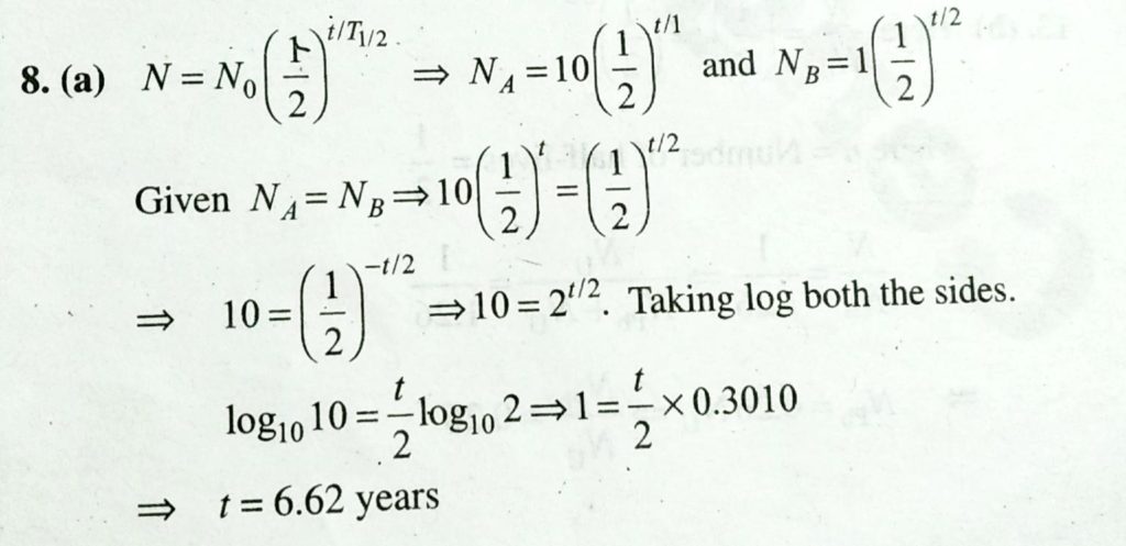
A and B are two radioactive substances whose half lives are 1 and 2 years respectively. Intiallly 10 gm of A and 1 gm of B is taken. The time (approximate ) after which they will have the same quantity remaining is A radioactive material decays by simultaneous emission of two particles with respective half lives 1620 and 810 years. The times in years after which one - four of the material remains is September 14, 2020 Category: Uncategorised (JEE Advanced Physics by BM Sharma + GMP Solutions) , Facebook Messenger WhatsApp Share this:TwitterFacebook Related