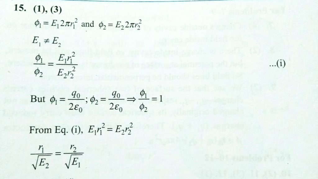
A and B are semi – spherical surfaces of radius r1 and r2 ( r1> r2 ) with E1 and E2 as the electric fields at their surfaces . Charge q0 is placed as shown . what is the condition which may be statisfied? Figure shows a netural metallic sphere with a pointcharge +Q placed near its surface. Electrostatic equilibrium conditions exists on metallic sphere . Mark the correct statements : November 1, 2020 Category: Uncategorised (JEE Advanced Physics by BM Sharma + GMP Solutions) , Facebook Messenger WhatsApp Share this:TwitterFacebook Related