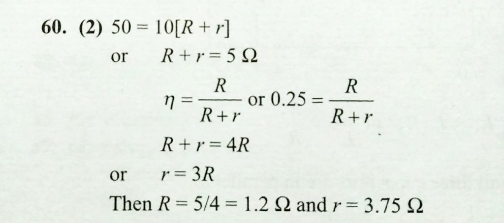
A 50 V battery is supplying current of 10 amp when connected to a resistor. If the efficiency of battery at this current is 25%. Then internal resistance of battery is:- A 50 V battery is supplying current of 10 amp when connected to a resistor. If the efficiency of battery at this current is 25%. Then internal resistance of battery is:- November 11, 2020 Category: Uncategorised (JEE Advanced Physics by BM Sharma + GMP Solutions) , Facebook Messenger WhatsApp Share this:TwitterFacebook Related