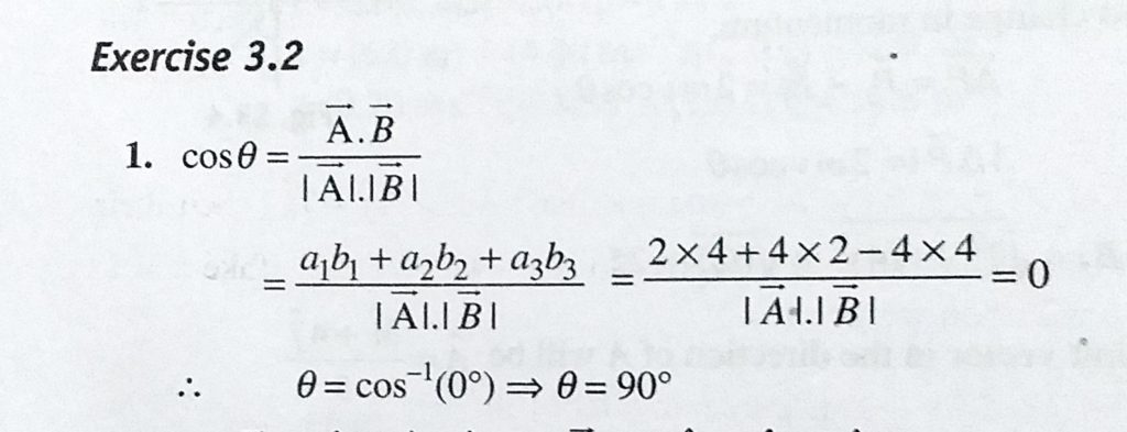
A = 2i + 4j + 4k and B = 4i + 2j – 4k are two vectors. Find the angle between them. A = 2i + 4j + 4k and B = 4i + 2j - 4k are two vectors. Find the angle between them. September 16, 2020 Category: Uncategorised (JEE Advanced Physics by BM Sharma + GMP Solutions) , Facebook Messenger WhatsApp Share this:TwitterFacebook Related