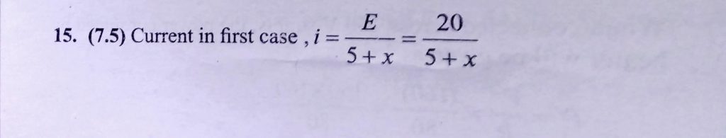
A 20V battery with an internal resistance of 5Ω is connected to a resistor of x ohms. If an additional 6Ω resistor is connected across the battery, find the value of x so that the external power supplied by the battery remains same. A 20V battery with an internal resistance of 5Ω is connected to a resistor of x ohms. If an additional 6Ω resistor is connected across the battery find the value of x so that the external power supplied by the battery remains same. November 18, 2020 Category: Uncategorised (JEE Advanced Physics by BM Sharma + GMP Solutions) , Facebook Messenger WhatsApp Share this:TwitterFacebook Related