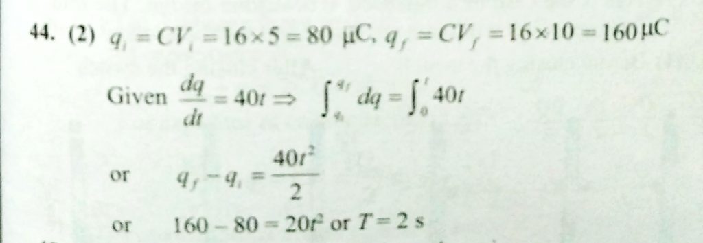
A 16 muF capacitor , initially charged to 5 V, is started chargingat t = 0 by a source at the rate of 40 t muC/s. How long will it take to raise its potential to 10 V? A 16 muF capacitor initially charged to 5 V is started chargingat t = 0 by a source at the rate of 40 t muC/s. How long will it take to raise its potential to 10 V? November 8, 2020 Category: Uncategorised (JEE Advanced Physics by BM Sharma + GMP Solutions) , Facebook Messenger WhatsApp Share this:TwitterFacebook Related