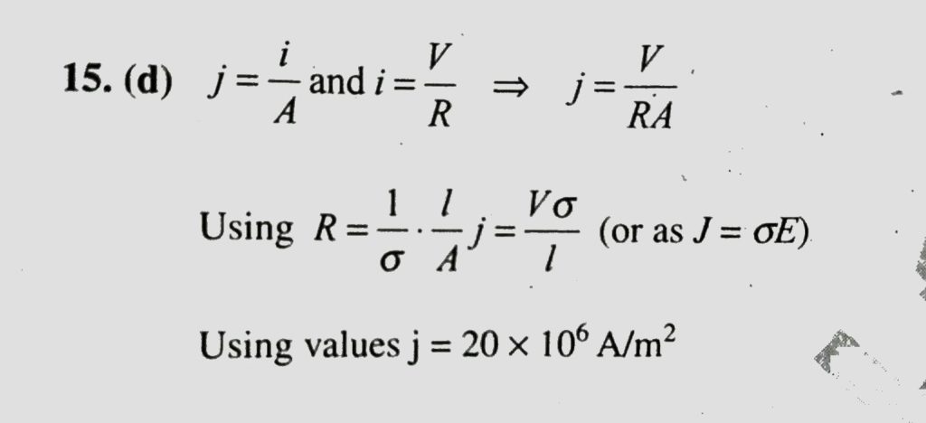
A 150 m long metal wire connects points A and B. The electric potential at point B is 50 V less than that at point A. If the conductivity of the metal is 60 × 10^6 mho/m then magnitude of the current density in the wire is equal to 2 x and 4 x . Electrical contacts can be made to the block between opposite pairs of faces (for example B - B : Left and right faces B - B and C - C ). Between which two faces would the maximum electrical resistance be obtained ( A - A : Top and bottom faces between the faces labelled A - A C - C : Front and rear faces) In figure shows a rectangular block with dimensions x September 19, 2020 Category: Uncategorised (JEE Advanced Physics by BM Sharma + GMP Solutions) , Facebook Messenger WhatsApp Share this:TwitterFacebook Related