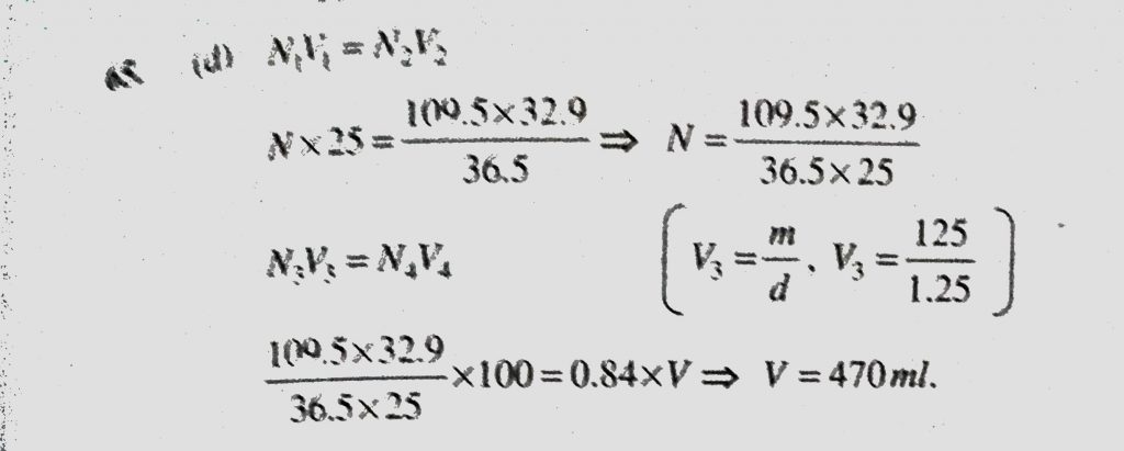
25 ml of a solution of Na2CO3 having a specific gravity of 1.25 required 32.9 ml of a solution of HCl containing 109.5 grams of the acid per litre for complete neutralization. Calculate the volume of 25 ml of a solution of Na2CO3 having a specific gravity of 1.25 required 32.9 ml of a solution of HCl containing 109.5 grams of the acid per litre for complete neutralization. Calculate the volume of December 7, 2020 Category: Uncategorised (JEE Advanced Physics by BM Sharma + GMP Solutions) , Facebook Messenger WhatsApp Share this:TwitterFacebook Related