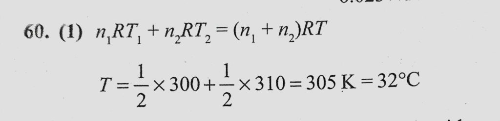
22 g of CO2 at 27 C is mixed with 16 g of O2 at 37 C. The temperature of the mixture is 22 g of CO2 at 27 C is mixed with 16 g of O2 at 37 C. The temperature of the mixture is October 27, 2020 Category: Uncategorised (JEE Advanced Physics by BM Sharma + GMP Solutions) , Facebook Messenger WhatsApp Share this:TwitterFacebook Related