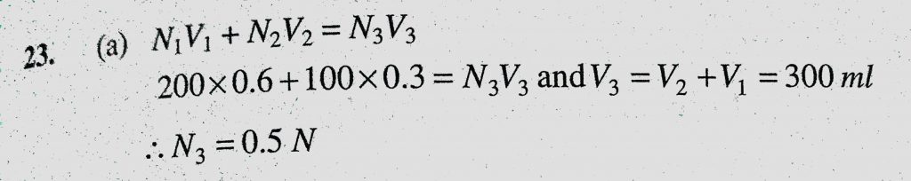
200 ml 0.6 N H2SO4 and 100 ml of 0.3 N HCl are mixed together. Acidic normality of the resultant solution is 200 ml 0.6 N H2SO4 and 100 ml of 0.3 N HCl are mixed together. Acidic normality of the resultant solution is December 7, 2020 Category: Uncategorised (JEE Advanced Physics by BM Sharma + GMP Solutions) , Facebook Messenger WhatsApp Share this:TwitterFacebook Related